Abstract
Background Allogeneic hematopoietic stem cell transplantation (HSCT) is the most powerful therapy for patients with high risk of relapse. No matter the donor source or conditioning regimen used, leukemia relapse is still the leading cause of HSCT failure. A recent clinical protocol of HSCT consisting of "age-adapted" irradiation-based conditioning regimen and a peripheral blood CD34+ cell graft combined with the adoptive transfer of donor regulatory T cells (Tregs) and conventional T cells (Tcons) allowed for an unprecedented (75%) chronic GvHD (cGvHD)/relapse free survival (CRFS) in patients with acute myeloid leukemia (AML) (Pierini, Blood Advances 2021). In the present study we investigated whether Treg/Tcon adoptive immunotherapy could even improve outcomes of HLA-matched HSCT.
Methods Thanks to the impressive outcomes of HSCT with Treg/Tcon immunotherapy in the haploidentical setting, in 2019 we extended such approach to leukemia patients with an HLA-matched donor (clinicaltrials.gov n.NCT03977103). High-risk leukemia patients received a myeloablative conditioning regimen consisting of hyper-fractionated total body irradiation (HF-TBI) at the dose of 13.5 Gy or total marrow and lymphoid irradiation (TMLI) at the dose of 13.5 Gy in the marrow and 11.5 Gy in the lymph nodes according to age or comorbidities. Irradiation was followed by chemotherapy with Thiotepa, Fludarabine, and Cyclophosphamide. Patients also received 2x106/kg freshly isolated CD4+CD25+FOXP3+ Tregs followed by the infusion of 1x106/kg Tcons and a mega-dose of HLA-matched CD34+ hematopoietic stem cells. No post-transplant pharmacologic GvHD prophylaxis was given.
Results Twenty-three patients (median age: 52, range: 27-68) with high-risk acute leukemia (18 AML, 4 T-ALL, 1 B-ALL) received Treg/Tcon HLA-matched HSCT. Five patients had AML with myelodysplasia related changes (MRC, 2 with complex karyotype), 1 therapy related AML (with NUP98/TOP1 fusion gene). Twenty-one/23 patients were transplanted in complete remission, while one patient with T-ALL had bulky disease in the mediastinum and the patient with NUP98/TOP1 AML had active disease at the time of transplant. Furthermore, molecular minimal residual disease (MRD) was positive in 66% of patients affected by AML with a molecular trackable marker (e.g. FLT3-ITD). Five patients received HF-TBI, while 18 received TMLI.
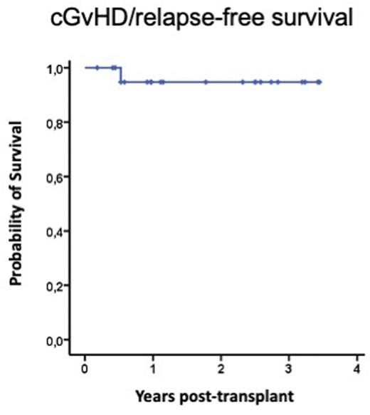
All patients engrafted. Three (13%) developed aGvHD grade ≥2 (all are alive and off-therapy). No patient developed cGvHD and no patient died because of transplant related complications. Strikingly, despite the high-risk diseases, only one patient (AML with FLT3-ITD, MRD positive at the time of transplant) relapsed after a median follow up of 18 months (range 2-41). Indeed, CRFS was 95.5% (see Figure).
Conclusions These results demonstrate that Treg/Tcon adoptive immunotherapy is extremely safe in the HLA-matched HSCT setting. Indeed, no chronic GvHD and no transplant related mortality occurred allowing for survival with good quality of life of nearly all patients. Furthermore, the combination of an age-adapted irradiation based conditioning regimen with Treg/Tcon adoptive immunotherapy exerted powerful antileukemic activity even in HLA-matched HSCT. We believe such outcomes make HSCT with Treg/Tcon adoptive immunotherapy ready to be compared to conventional transplantation approaches in multicentric studies.
Disclosures
Martelli:AbbVie: Membership on an entity's Board of Directors or advisory committees, Other: Scientific Advisor; Amgen: Membership on an entity's Board of Directors or advisory committees, Other: Scientific Advisor; Celgene: Membership on an entity's Board of Directors or advisory committees, Other: Scientific Advisor; Janssen: Membership on an entity's Board of Directors or advisory committees, Other: Scientific Advisor; Jazz: Membership on an entity's Board of Directors or advisory committees, Other: Scientific Advisor; Novartis: Membership on an entity's Board of Directors or advisory committees, Other: Scientific Advisor; Pfizer: Membership on an entity's Board of Directors or advisory committees, Other: Scientific Advisor. Mecucci:Abbvie: Speakers Bureau; GSK: Speakers Bureau; Novartis: Speakers Bureau.
Author notes
Asterisk with author names denotes non-ASH members.

This feature is available to Subscribers Only
Sign In or Create an Account Close Modal